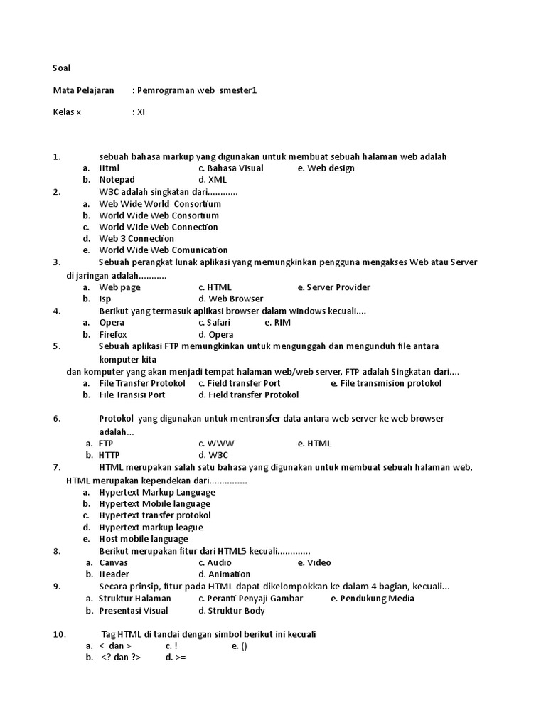
Soal Uts Pemrograman Web 2

  Fungsi Eksponen Adalah Salah Satu Fungsi Transenden Dimana Operasi Aljabar Tidak Dapat Langsung Diterapkan Fungsi Eksponen Dipelajar Matematika Belajar Fisika  
![]()
  Soal Uts Pemrograman Web Lanjut Flip Book Pages 1 3 Pubhtml5  

  Soal Pemrograman Web Kelas 11 Kunci Jawaban 2020  

  Soal Desain Web Semester Genap 2010fix  
  Soal Uts Dan Kunci Jawaban Pemrograman Web  

  Soal Uts Pemrograman Web Lanjut Flip Book Pages 1 3 Pubhtml5  

  Ilmuku Ilmumu Pembahasan Soal Uts Pemrograman Web Ii Nomor 1  

  Soal Dan Kunci Jawaban Uts Pemrograman Berbasis Web Kakakiky Blog Edukasi  

  Soal Sudut Pusat Dan Sudut Keliling Lingkaran Https Ift Tt 397qhuy Lingkaran Sudut  
  Soal Uts Dan Kunci Jawaban Pemrograman Web  
![]()
  Soal Uas Pemrograman Desktop Kelas 11 Smk Semester Ganjil Tahun Ajara  

  Soal Uts Pemrograman Web Lanjut Flip Book Pages 1 3 Pubhtml5  

